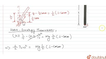
A uniform rod mass `m` and length `L` is free to rotate about hinge `O`. A slight disturbance

Tonton & Download Video Musik Gratis

⬇ DOWNLOAD NOW
Kalau muncul iklan pop-up, tutup lalu klik tombol kembali

Download lagu A uniform rod mass `m` and length `L` is free to rotate about hinge `O`. A slight disturbance secara gratis hanya untuk keperluan promosi. Dukung artis favorit kamu dengan membeli musik original di iTunes atau platform resmi lainnya.