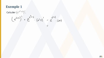
80 Calculer la derivee d'une fonction exponentielle exemple 3 partie 2

Tonton & Download Video Musik Gratis

⬇ DOWNLOAD NOW
Kalau muncul iklan pop-up, tutup lalu klik tombol kembali

Download lagu 80 Calculer la derivee d'une fonction exponentielle exemple 3 partie 2 secara gratis hanya untuk keperluan promosi. Dukung artis favorit kamu dengan membeli musik original di iTunes atau platform resmi lainnya.