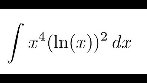
How to integrate x.(lnx)^2, Integration by parts, Indefinite Integral, Calculus

Tonton & Download Video Musik Gratis

⬇ DOWNLOAD NOW
Kalau muncul iklan pop-up, tutup lalu klik tombol kembali

Download lagu How to integrate x.(lnx)^2, Integration by parts, Indefinite Integral, Calculus secara gratis hanya untuk keperluan promosi. Dukung artis favorit kamu dengan membeli musik original di iTunes atau platform resmi lainnya.