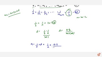
if H1,H2...hm are n H.M between a and b then prove that ` [(H1+a)/(H1-a) +(Hn+b)/(Hn-

Tonton & Download Video Musik Gratis

⬇ DOWNLOAD NOW
Kalau muncul iklan pop-up, tutup lalu klik tombol kembali

Download lagu if H1,H2...hm are n H.M between a and b then prove that ` [(H1+a)/(H1-a) +(Hn+b)/(Hn- secara gratis hanya untuk keperluan promosi. Dukung artis favorit kamu dengan membeli musik original di iTunes atau platform resmi lainnya.