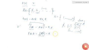
3.Given a non empty set X, consider P(x) consider P(X) which is the set of all subsets of X

Tonton & Download Video Musik Gratis

⬇ DOWNLOAD NOW
Kalau muncul iklan pop-up, tutup lalu klik tombol kembali

Download lagu 3.Given a non empty set X, consider P(x) consider P(X) which is the set of all subsets of X secara gratis hanya untuk keperluan promosi. Dukung artis favorit kamu dengan membeli musik original di iTunes atau platform resmi lainnya.