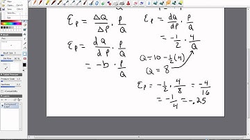
Cross Price Elasticity of Demand for Beef w.r.t Price of Mutton using Partial Derivatives

Tonton & Download Video Musik Gratis

⬇ DOWNLOAD NOW
Kalau muncul iklan pop-up, tutup lalu klik tombol kembali

Download lagu Cross Price Elasticity of Demand for Beef w.r.t Price of Mutton using Partial Derivatives secara gratis hanya untuk keperluan promosi. Dukung artis favorit kamu dengan membeli musik original di iTunes atau platform resmi lainnya.