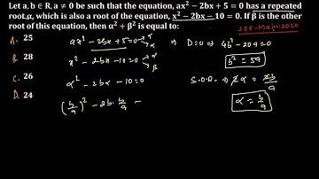
Let a,b∈R, a≠0 be such that the equation, ax2-2bx+5=0 has a repeated root α, which is also a root...

Tonton & Download Video Musik Gratis

⬇ DOWNLOAD NOW
Kalau muncul iklan pop-up, tutup lalu klik tombol kembali

Download lagu Let a,b∈R, a≠0 be such that the equation, ax2-2bx+5=0 has a repeated root α, which is also a root... secara gratis hanya untuk keperluan promosi. Dukung artis favorit kamu dengan membeli musik original di iTunes atau platform resmi lainnya.