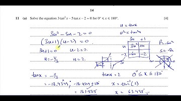
Q11 Solutions for CIE mathematics 9709 paper 12 June 2020 9709/12/m/j/20

Tonton & Download Video Musik Gratis

⬇ DOWNLOAD NOW
Kalau muncul iklan pop-up, tutup lalu klik tombol kembali

Download lagu Q11 Solutions for CIE mathematics 9709 paper 12 June 2020 9709/12/m/j/20 secara gratis hanya untuk keperluan promosi. Dukung artis favorit kamu dengan membeli musik original di iTunes atau platform resmi lainnya.