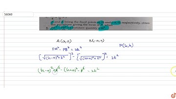
Find the locus of \( P \) if \( P A^{2}+P B^{2}=2 k^{2} \), where \( A \) and \( B \) are the po...

Tonton & Download Video Musik Gratis

⬇ DOWNLOAD NOW
Kalau muncul iklan pop-up, tutup lalu klik tombol kembali

Download lagu Find the locus of \( P \) if \( P A^{2}+P B^{2}=2 k^{2} \), where \( A \) and \( B \) are the po... secara gratis hanya untuk keperluan promosi. Dukung artis favorit kamu dengan membeli musik original di iTunes atau platform resmi lainnya.