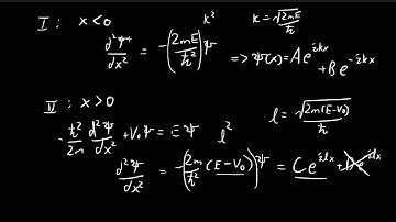
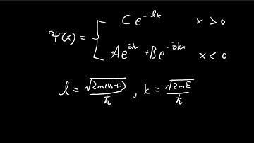
Griffiths QM 2.34 Solution: Using the Scattering Matrix to find Bound States of Delta Potential

Tonton & Download Video Musik Gratis

⬇ DOWNLOAD NOW
Kalau muncul iklan pop-up, tutup lalu klik tombol kembali

Download lagu Griffiths QM 2.34 Solution: Using the Scattering Matrix to find Bound States of Delta Potential secara gratis hanya untuk keperluan promosi. Dukung artis favorit kamu dengan membeli musik original di iTunes atau platform resmi lainnya.