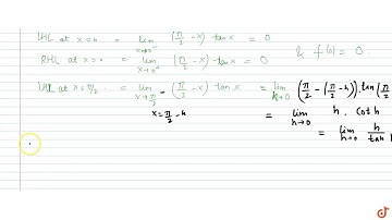
Is the function \( f \) defined by \( f(x)=\tan x \) continuous at \( x=\frac{\pi}{2} ? \)

Tonton & Download Video Musik Gratis

⬇ DOWNLOAD NOW
Kalau muncul iklan pop-up, tutup lalu klik tombol kembali

Download lagu Is the function \( f \) defined by \( f(x)=\tan x \) continuous at \( x=\frac{\pi}{2} ? \) secara gratis hanya untuk keperluan promosi. Dukung artis favorit kamu dengan membeli musik original di iTunes atau platform resmi lainnya.