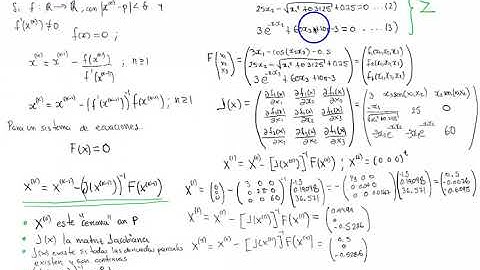
Newton-Raphson (1-variable, generalizado) y Normas (1 e infinito) - parte 1

Tonton & Download Video Musik Gratis

⬇ DOWNLOAD NOW
Kalau muncul iklan pop-up, tutup lalu klik tombol kembali

Download lagu Newton-Raphson (1-variable, generalizado) y Normas (1 e infinito) - parte 1 secara gratis hanya untuk keperluan promosi. Dukung artis favorit kamu dengan membeli musik original di iTunes atau platform resmi lainnya.