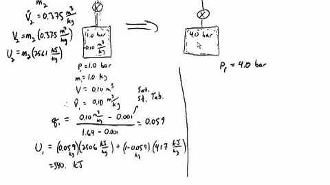
Problem 2.2: Using steam tables for given pressure to find the mass and enthalpy of the steam.

Tonton & Download Video Musik Gratis

⬇ DOWNLOAD NOW
Kalau muncul iklan pop-up, tutup lalu klik tombol kembali

Download lagu Problem 2.2: Using steam tables for given pressure to find the mass and enthalpy of the steam. secara gratis hanya untuk keperluan promosi. Dukung artis favorit kamu dengan membeli musik original di iTunes atau platform resmi lainnya.