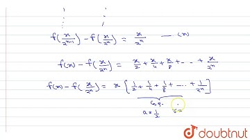
If `f:R to R` is a continuous function satisfying `f(0)=1 and f(2x)-f(x)=x"for all x"in R and

Tonton & Download Video Musik Gratis

⬇ DOWNLOAD NOW
Kalau muncul iklan pop-up, tutup lalu klik tombol kembali

Download lagu If `f:R to R` is a continuous function satisfying `f(0)=1 and f(2x)-f(x)=x"for all x"in R and secara gratis hanya untuk keperluan promosi. Dukung artis favorit kamu dengan membeli musik original di iTunes atau platform resmi lainnya.