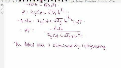
Fluid mechanic: - ( Time required to empty a reservoir by triangular notch or weir) - 123.

Tonton & Download Video Musik Gratis

⬇ DOWNLOAD NOW
Kalau muncul iklan pop-up, tutup lalu klik tombol kembali

Download lagu Fluid mechanic: - ( Time required to empty a reservoir by triangular notch or weir) - 123. secara gratis hanya untuk keperluan promosi. Dukung artis favorit kamu dengan membeli musik original di iTunes atau platform resmi lainnya.