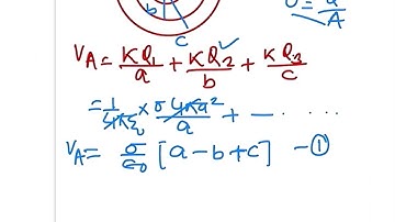
Three concentric conducting thin spherical shells have radii a,b, and c so that abc. Initially, t…

Tonton & Download Video Musik Gratis

⬇ DOWNLOAD NOW
Kalau muncul iklan pop-up, tutup lalu klik tombol kembali

Download lagu Three concentric conducting thin spherical shells have radii a,b, and c so that abc. Initially, t… secara gratis hanya untuk keperluan promosi. Dukung artis favorit kamu dengan membeli musik original di iTunes atau platform resmi lainnya.