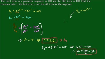
Geometric Sequence: Nth Term and Common Ratio of Geometric Sequence

Tonton & Download Video Musik Gratis

⬇ DOWNLOAD NOW
Kalau muncul iklan pop-up, tutup lalu klik tombol kembali

Download lagu Geometric Sequence: Nth Term and Common Ratio of Geometric Sequence secara gratis hanya untuk keperluan promosi. Dukung artis favorit kamu dengan membeli musik original di iTunes atau platform resmi lainnya.