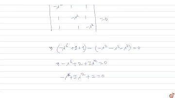
The number of distinct real values of \( \lambda \), for which the vectors \( -\lambda^{2} \hat{...

Tonton & Download Video Musik Gratis

⬇ DOWNLOAD NOW
Kalau muncul iklan pop-up, tutup lalu klik tombol kembali

Download lagu The number of distinct real values of \( \lambda \), for which the vectors \( -\lambda^{2} \hat{... secara gratis hanya untuk keperluan promosi. Dukung artis favorit kamu dengan membeli musik original di iTunes atau platform resmi lainnya.