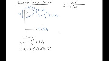
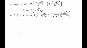
7 - Moment Curvature Example - ACI Approximation for Nominal Moment

Tonton & Download Video Musik Gratis

⬇ DOWNLOAD NOW
Kalau muncul iklan pop-up, tutup lalu klik tombol kembali

Download lagu 7 - Moment Curvature Example - ACI Approximation for Nominal Moment secara gratis hanya untuk keperluan promosi. Dukung artis favorit kamu dengan membeli musik original di iTunes atau platform resmi lainnya.