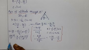
|| INTER MATHS-1B || CHAPTER-3 || STRAIGHT LINES || EXERCISE-3(c)-II-3 || L.A.Q ||

Tonton & Download Video Musik Gratis

⬇ DOWNLOAD NOW
Kalau muncul iklan pop-up, tutup lalu klik tombol kembali

Download lagu || INTER MATHS-1B || CHAPTER-3 || STRAIGHT LINES || EXERCISE-3(c)-II-3 || L.A.Q || secara gratis hanya untuk keperluan promosi. Dukung artis favorit kamu dengan membeli musik original di iTunes atau platform resmi lainnya.