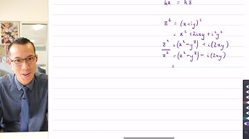
Extension II Assessment Review (2 of 5: Complex Conjugate Root Theorem, DMT & Geometry)

Tonton & Download Video Musik Gratis

⬇ DOWNLOAD NOW
Kalau muncul iklan pop-up, tutup lalu klik tombol kembali

Download lagu Extension II Assessment Review (2 of 5: Complex Conjugate Root Theorem, DMT & Geometry) secara gratis hanya untuk keperluan promosi. Dukung artis favorit kamu dengan membeli musik original di iTunes atau platform resmi lainnya.