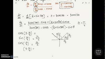
Ex: Determine the Slope of a Tangent Line to a Polar Curve at a Given Angle

Tonton & Download Video Musik Gratis

⬇ DOWNLOAD NOW
Kalau muncul iklan pop-up, tutup lalu klik tombol kembali

Download lagu Ex: Determine the Slope of a Tangent Line to a Polar Curve at a Given Angle secara gratis hanya untuk keperluan promosi. Dukung artis favorit kamu dengan membeli musik original di iTunes atau platform resmi lainnya.