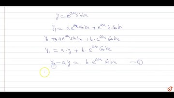
If `y=(a-bsinx)/(b+asinx)," then "(b+asinx)^(2)y_(1)=`

Tonton & Download Video Musik Gratis

⬇ DOWNLOAD NOW
Kalau muncul iklan pop-up, tutup lalu klik tombol kembali

Download lagu If `y=(a-bsinx)/(b+asinx)," then "(b+asinx)^(2)y_(1)=` secara gratis hanya untuk keperluan promosi. Dukung artis favorit kamu dengan membeli musik original di iTunes atau platform resmi lainnya.