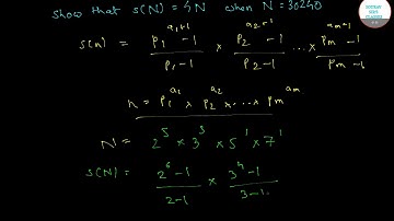
Number Theory || ISI BSTAT/BMATH 2020 Special Revision Session || Mathematics Tricks

Tonton & Download Video Musik Gratis

⬇ DOWNLOAD NOW
Kalau muncul iklan pop-up, tutup lalu klik tombol kembali

Download lagu Number Theory || ISI BSTAT/BMATH 2020 Special Revision Session || Mathematics Tricks secara gratis hanya untuk keperluan promosi. Dukung artis favorit kamu dengan membeli musik original di iTunes atau platform resmi lainnya.