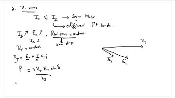
Behavioral characteristics of Synchronous motors in various conditions|| KVSTRICKS ||

Tonton & Download Video Musik Gratis

⬇ DOWNLOAD NOW
Kalau muncul iklan pop-up, tutup lalu klik tombol kembali

Download lagu Behavioral characteristics of Synchronous motors in various conditions|| KVSTRICKS || secara gratis hanya untuk keperluan promosi. Dukung artis favorit kamu dengan membeli musik original di iTunes atau platform resmi lainnya.