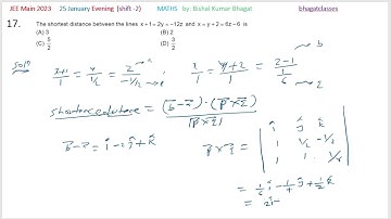
Find the shortest distance between the lines x + 1 = 2y = – 12z and x = y + 2 = 6z – 6.

Tonton & Download Video Musik Gratis

⬇ DOWNLOAD NOW
Kalau muncul iklan pop-up, tutup lalu klik tombol kembali

Download lagu Find the shortest distance between the lines x + 1 = 2y = – 12z and x = y + 2 = 6z – 6. secara gratis hanya untuk keperluan promosi. Dukung artis favorit kamu dengan membeli musik original di iTunes atau platform resmi lainnya.