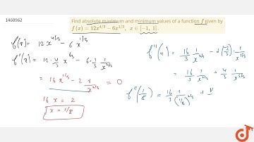
Find absolute maximum and minimum values of a function f given by `f(x)=12 x^(4/3)-6x^(1/3), x i...

Tonton & Download Video Musik Gratis

⬇ DOWNLOAD NOW
Kalau muncul iklan pop-up, tutup lalu klik tombol kembali

Download lagu Find absolute maximum and minimum values of a function f given by `f(x)=12 x^(4/3)-6x^(1/3), x i... secara gratis hanya untuk keperluan promosi. Dukung artis favorit kamu dengan membeli musik original di iTunes atau platform resmi lainnya.