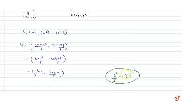
The vertices of a triangle are (1, a),(2, b) and (c^2,-3) (i) Prove that its centroid can not lie...

Tonton & Download Video Musik Gratis

⬇ DOWNLOAD NOW
Kalau muncul iklan pop-up, tutup lalu klik tombol kembali

Download lagu The vertices of a triangle are (1, a),(2, b) and (c^2,-3) (i) Prove that its centroid can not lie... secara gratis hanya untuk keperluan promosi. Dukung artis favorit kamu dengan membeli musik original di iTunes atau platform resmi lainnya.