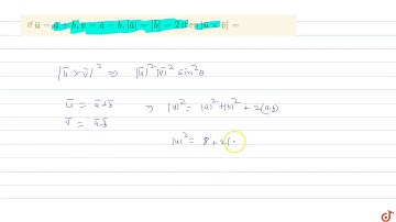
If `bar a=bar a +bar j+bar k,bar b=bar i+bar j,bar c=bar i and (bar a xx bar b)xx bar c=lamb...

Tonton & Download Video Musik Gratis

⬇ DOWNLOAD NOW
Kalau muncul iklan pop-up, tutup lalu klik tombol kembali

Download lagu If `bar a=bar a +bar j+bar k,bar b=bar i+bar j,bar c=bar i and (bar a xx bar b)xx bar c=lamb... secara gratis hanya untuk keperluan promosi. Dukung artis favorit kamu dengan membeli musik original di iTunes atau platform resmi lainnya.