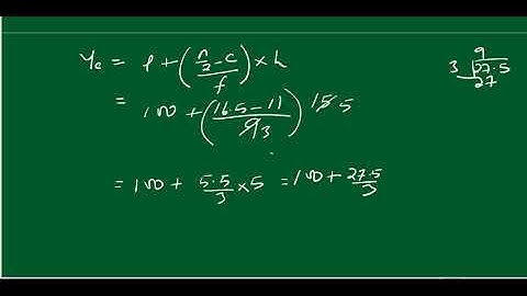
Class-10 Maths / Calculating the Median & Mode /Mizo tawnga hrilhfiahna

Tonton & Download Video Musik Gratis

⬇ DOWNLOAD NOW
Kalau muncul iklan pop-up, tutup lalu klik tombol kembali

Download lagu Class-10 Maths / Calculating the Median & Mode /Mizo tawnga hrilhfiahna secara gratis hanya untuk keperluan promosi. Dukung artis favorit kamu dengan membeli musik original di iTunes atau platform resmi lainnya.