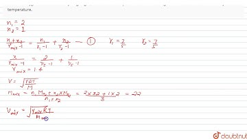
The ratio of speed of sound in hydrogen gas to the speed of sound in oxygen gas at the same temp....

Tonton & Download Video Musik Gratis

⬇ DOWNLOAD NOW
Kalau muncul iklan pop-up, tutup lalu klik tombol kembali

Download lagu The ratio of speed of sound in hydrogen gas to the speed of sound in oxygen gas at the same temp.... secara gratis hanya untuk keperluan promosi. Dukung artis favorit kamu dengan membeli musik original di iTunes atau platform resmi lainnya.