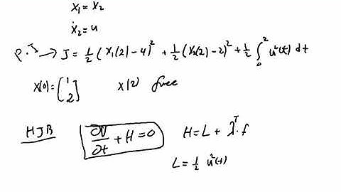
Continuous Time Dynamic Programming -- The Hamilton-Jacobi-Bellman Equation

Tonton & Download Video Musik Gratis

⬇ DOWNLOAD NOW
Kalau muncul iklan pop-up, tutup lalu klik tombol kembali

Download lagu Continuous Time Dynamic Programming -- The Hamilton-Jacobi-Bellman Equation secara gratis hanya untuk keperluan promosi. Dukung artis favorit kamu dengan membeli musik original di iTunes atau platform resmi lainnya.