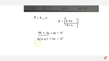
If \( a, b, c \) are in G.P. and \( a-b, c-a \) and \( b-c \) are in H.P., then \( a+4 b+c \) is...

Tonton & Download Video Musik Gratis

⬇ DOWNLOAD NOW
Kalau muncul iklan pop-up, tutup lalu klik tombol kembali

Download lagu If \( a, b, c \) are in G.P. and \( a-b, c-a \) and \( b-c \) are in H.P., then \( a+4 b+c \) is... secara gratis hanya untuk keperluan promosi. Dukung artis favorit kamu dengan membeli musik original di iTunes atau platform resmi lainnya.