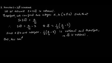
CBSE Class-10 Maths NCERT solution - Real Number - Exercise 1.3 - Problem 3

Tonton & Download Video Musik Gratis

⬇ DOWNLOAD NOW
Kalau muncul iklan pop-up, tutup lalu klik tombol kembali

Download lagu CBSE Class-10 Maths NCERT solution - Real Number - Exercise 1.3 - Problem 3 secara gratis hanya untuk keperluan promosi. Dukung artis favorit kamu dengan membeli musik original di iTunes atau platform resmi lainnya.