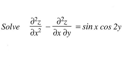
03 Solve PDE (D^2+DD'-6D'^2)=y cosx|Solve PDE (D^2+DD'-6D'^2)=y sinx |PDE with constant coefficient

Tonton & Download Video Musik Gratis

⬇ DOWNLOAD NOW
Kalau muncul iklan pop-up, tutup lalu klik tombol kembali

Download lagu 03 Solve PDE (D^2+DD'-6D'^2)=y cosx|Solve PDE (D^2+DD'-6D'^2)=y sinx |PDE with constant coefficient secara gratis hanya untuk keperluan promosi. Dukung artis favorit kamu dengan membeli musik original di iTunes atau platform resmi lainnya.