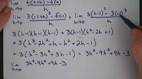
Use the Limit Definition of the Derivative to Find the Equation of a Tangent Line

Tonton & Download Video Musik Gratis

⬇ DOWNLOAD NOW
Kalau muncul iklan pop-up, tutup lalu klik tombol kembali

Download lagu Use the Limit Definition of the Derivative to Find the Equation of a Tangent Line secara gratis hanya untuk keperluan promosi. Dukung artis favorit kamu dengan membeli musik original di iTunes atau platform resmi lainnya.