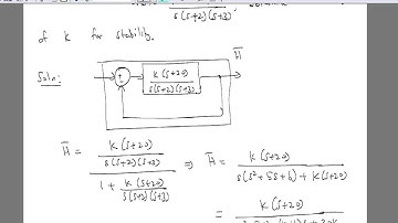
ECE320 Lecture2-3a: Stability Analysis - Routh-Hurwitz Criterion

Tonton & Download Video Musik Gratis

⬇ DOWNLOAD NOW
Kalau muncul iklan pop-up, tutup lalu klik tombol kembali

Download lagu ECE320 Lecture2-3a: Stability Analysis - Routh-Hurwitz Criterion secara gratis hanya untuk keperluan promosi. Dukung artis favorit kamu dengan membeli musik original di iTunes atau platform resmi lainnya.