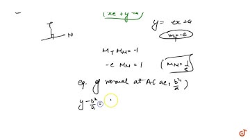
If the normal at an end of a latus rectum of an ellipse passes through an extremity of the minor....

Tonton & Download Video Musik Gratis

⬇ DOWNLOAD NOW
Kalau muncul iklan pop-up, tutup lalu klik tombol kembali

Download lagu If the normal at an end of a latus rectum of an ellipse passes through an extremity of the minor.... secara gratis hanya untuk keperluan promosi. Dukung artis favorit kamu dengan membeli musik original di iTunes atau platform resmi lainnya.