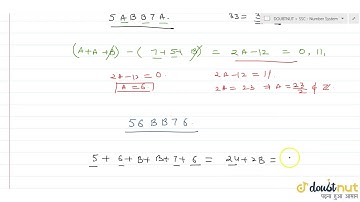
"If the seven-figure number 30X0103 is a multiple of 13, then X is 1 (b) 6 (c) 7 (d) 8"

Tonton & Download Video Musik Gratis

⬇ DOWNLOAD NOW
Kalau muncul iklan pop-up, tutup lalu klik tombol kembali

Download lagu "If the seven-figure number 30X0103 is a multiple of 13, then X is 1 (b) 6 (c) 7 (d) 8" secara gratis hanya untuk keperluan promosi. Dukung artis favorit kamu dengan membeli musik original di iTunes atau platform resmi lainnya.