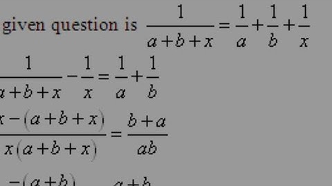
Solve for x : 1/(a+b+x)= 1/a + 1/b + 1/x

Tonton & Download Video Musik Gratis

⬇ DOWNLOAD NOW
Kalau muncul iklan pop-up, tutup lalu klik tombol kembali

Download lagu Solve for x : 1/(a+b+x)= 1/a + 1/b + 1/x secara gratis hanya untuk keperluan promosi. Dukung artis favorit kamu dengan membeli musik original di iTunes atau platform resmi lainnya.