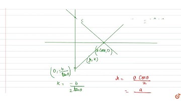
Find the locus of mid-point of the portion of tangent intercepted between coordinate axes to the...

Tonton & Download Video Musik Gratis

⬇ DOWNLOAD NOW
Kalau muncul iklan pop-up, tutup lalu klik tombol kembali

Download lagu Find the locus of mid-point of the portion of tangent intercepted between coordinate axes to the... secara gratis hanya untuk keperluan promosi. Dukung artis favorit kamu dengan membeli musik original di iTunes atau platform resmi lainnya.