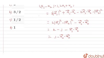
If \( a_{1} \) and \( a_{2} \) are two non-collinear unit vectors a...

Tonton & Download Video Musik Gratis

⬇ DOWNLOAD NOW
Kalau muncul iklan pop-up, tutup lalu klik tombol kembali

Download lagu If \( a_{1} \) and \( a_{2} \) are two non-collinear unit vectors a... secara gratis hanya untuk keperluan promosi. Dukung artis favorit kamu dengan membeli musik original di iTunes atau platform resmi lainnya.