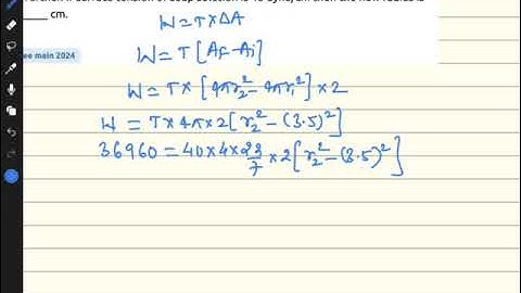
A soap bubble is blown to a diameter of 7 cm. 36960 erg of work is done in blowing it further.if sur

Tonton & Download Video Musik Gratis

⬇ DOWNLOAD NOW
Kalau muncul iklan pop-up, tutup lalu klik tombol kembali

Download lagu A soap bubble is blown to a diameter of 7 cm. 36960 erg of work is done in blowing it further.if sur secara gratis hanya untuk keperluan promosi. Dukung artis favorit kamu dengan membeli musik original di iTunes atau platform resmi lainnya.