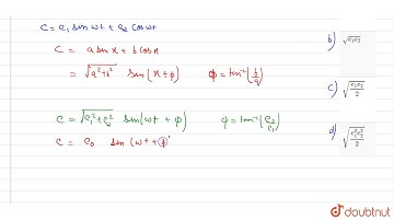
An alternating voltage is given by: \( e=e_{1} \sin \omega t+e_{2} \cos \omega t \). Then the ro...

Tonton & Download Video Musik Gratis

⬇ DOWNLOAD NOW
Kalau muncul iklan pop-up, tutup lalu klik tombol kembali

Download lagu An alternating voltage is given by: \( e=e_{1} \sin \omega t+e_{2} \cos \omega t \). Then the ro... secara gratis hanya untuk keperluan promosi. Dukung artis favorit kamu dengan membeli musik original di iTunes atau platform resmi lainnya.