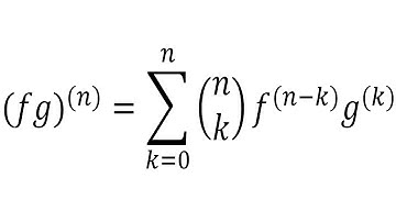
Leibnitz Theorem-Product rule for Successive Derivative | Calculus | BSc Mathematics

Tonton & Download Video Musik Gratis

⬇ DOWNLOAD NOW
Kalau muncul iklan pop-up, tutup lalu klik tombol kembali

Download lagu Leibnitz Theorem-Product rule for Successive Derivative | Calculus | BSc Mathematics secara gratis hanya untuk keperluan promosi. Dukung artis favorit kamu dengan membeli musik original di iTunes atau platform resmi lainnya.