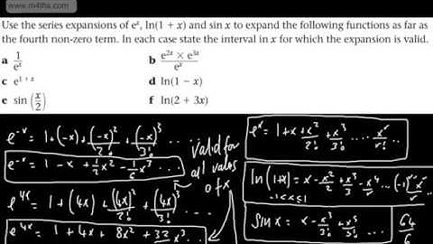
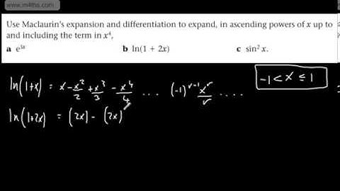
Futher Pure 2 FP2 Maclaurin Series 8 More examples of Standard Results

Tonton & Download Video Musik Gratis

⬇ DOWNLOAD NOW
Kalau muncul iklan pop-up, tutup lalu klik tombol kembali

Download lagu Futher Pure 2 FP2 Maclaurin Series 8 More examples of Standard Results secara gratis hanya untuk keperluan promosi. Dukung artis favorit kamu dengan membeli musik original di iTunes atau platform resmi lainnya.