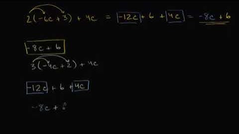
Equivalent Expressions With Negative Numbers and Variables - 7th Grade Math

Tonton & Download Video Musik Gratis

⬇ DOWNLOAD NOW
Kalau muncul iklan pop-up, tutup lalu klik tombol kembali

Download lagu Equivalent Expressions With Negative Numbers and Variables - 7th Grade Math secara gratis hanya untuk keperluan promosi. Dukung artis favorit kamu dengan membeli musik original di iTunes atau platform resmi lainnya.