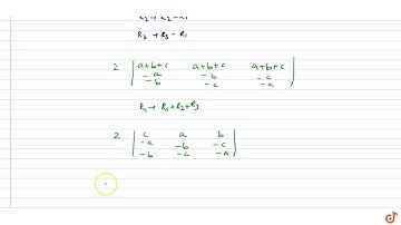
XIIM&DQ059 _ Using properties of determinants, prove that |(a&b&c a-b&b-c&c-a b+c&c+a&a+b)|

Tonton & Download Video Musik Gratis

⬇ DOWNLOAD NOW
Kalau muncul iklan pop-up, tutup lalu klik tombol kembali

Download lagu XIIM&DQ059 _ Using properties of determinants, prove that |(a&b&c a-b&b-c&c-a b+c&c+a&a+b)| secara gratis hanya untuk keperluan promosi. Dukung artis favorit kamu dengan membeli musik original di iTunes atau platform resmi lainnya.