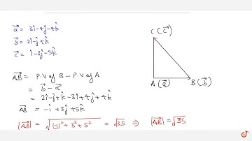
Show that the points whose position vectors are \( \vec{a}=4 \hat{i}-3 \hat{j}+\hat{k}, \vec{b}=...

Tonton & Download Video Musik Gratis

⬇ DOWNLOAD NOW
Kalau muncul iklan pop-up, tutup lalu klik tombol kembali

Download lagu Show that the points whose position vectors are \( \vec{a}=4 \hat{i}-3 \hat{j}+\hat{k}, \vec{b}=... secara gratis hanya untuk keperluan promosi. Dukung artis favorit kamu dengan membeli musik original di iTunes atau platform resmi lainnya.