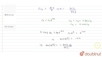
A first order reaction takes 69.3 minutes for 50% completion. How much time will be needed for 8...

Tonton & Download Video Musik Gratis

⬇ DOWNLOAD NOW
Kalau muncul iklan pop-up, tutup lalu klik tombol kembali

Download lagu A first order reaction takes 69.3 minutes for 50% completion. How much time will be needed for 8... secara gratis hanya untuk keperluan promosi. Dukung artis favorit kamu dengan membeli musik original di iTunes atau platform resmi lainnya.